3相誘導モータ永久磁石発電機 KENTAC 2202MG-Ccu-M - 製品案内
SEARCH
KenTacの製品を探す
- カテゴリーから探す
- 型式・キーワードから探す
- 学習内容から探す
3相誘導モータ永久磁石発電機 KENTAC 2202MG-Ccu-M

学習項目
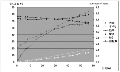
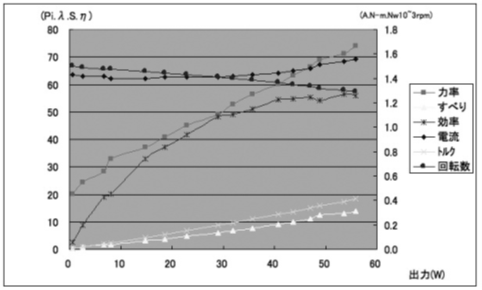
- 誘導モータの無負荷時の特性試験が出来ます。
- 誘導モータの負荷時の特性試験が出来ます。
- 誘導モータのインバータ運転が可能です。
- 直流DC発電機の無負荷及び負荷特性試験が出来ます。
仕様
- 3相誘導モータ(かご形ロータ、4極分散巻ステータ)
出力:約50W
極数:4極分散巻
- 直流発電機
励磁方式:永久磁石フィールド
出力:約50W
- 電源部仕様
直流電源部:出力 約DC5〜70V,約0〜5A
スイッチング方式(AC電源と絶縁)
インバータ部:6素子IPM使用
- エンコーダ出力パルス:60ppr(A相)
- その他の付属品
出力電圧計:0〜100V(可動鉄片型)
デジタル出力周波数計、回転計
- 電源:AC100V,50/60Hz
- モータ架台寸法:約600(W)×180(D)×200(H)mm 約11.3kg
材質 硬質アルミ
- インバータ部寸法:約470(W)×450(D)×300(H)mm 約20.0kg
