ブラシレスDCモータ永久磁石発電機 KENTAC 2202MG-DB-M - 製品案内
SEARCH
KenTacの製品を探す
- カテゴリーから探す
- 型式・キーワードから探す
- 学習内容から探す
ブラシレスDCモータ永久磁石発電機 KENTAC 2202MG-DB-M

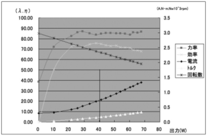
- 省エネモータの主役であるブラシレスDCモータの学習ができます。
家電用モータのほとんどがブラシレスDCモータに変わってきているのをご存知でしょうか。
ブラシレスDCモータと言うと、一昔前までパソコンのハードディスク用モータ、フロッピ
ーディスクモータ等が主力でした。
最近ではマイコン、IGBT等の発達のお陰でACサーボモータは言うには及ばず『冷蔵庫』
『洗濯機』『エアコン』等ブラシレスDCモータに変わってきています。
しかし学校教育ではブラシレスDCモータの特性や原理はほとんど学習されていません。
本実験装置は、主要部品としてブラシレスDCモータ(4極永久磁石ロータ、集中巻線ステータ、
ホールセンサ、4極円形磁石)永久磁石フィールドDC発電機、インバータ、直流電圧可変電源等
より構成されています。
学習項目
- ブラシレスDCモータの無負荷時の特性試験が出来ます。
- ブラシレスDCモータの負荷時の特性試験が出来ます。
- 永久磁石フィールド直流発電機の無負荷特性試験が出来ます。
- 永久磁石フィールド直流発電機の負荷特性試験が出来ます。
仕様
- モータ(4極永久磁石ロータ、6コイル集中巻テータ)
出力:約50W
極数:6極集中巻
センサー:ホール素子×3個
磁石:ロータ位置確認用4極円形磁石
- 直流発電機
励磁方式:永久磁石フィールド
出力:50W
- ラシレスDCモータドライバ
直流電源部:出力 約DC5〜70V、約0〜5A
スイッチング方式(AC電源と絶縁)
インバータ部:6素子IPM使用
- エンコーダー出力パルス:60ppr
- その他の付属品
出力電圧計:0〜100V(可動鉄片型)
出力電流計:0〜5A(可動鉄片型)
デジタル出力周波数計、回転計
- 電源:AC100V,50/60Hz
- モータ架台寸法:約600(W)×180(D)×200(H)mm 約11.1kg
材質 硬質アルミ
- インバータ部寸法:約470(W)×450(D)×300(H)mm
- 電源部寸法:約290×240×340(mm)

KENTAC 2202MG-DB-Mのブロック図
